Опубликован первый рейтинг управляющих компаний Пензенской области
Министерство ЖКХ и ГЗН Пензенской области опубликовало на своем сайте рейтинг управляющих компаний региона по итогам первого полугодия 2025 года.
Представители министерства отметили, что все показатели, которые легли в основу рейтинга, были тщательно изучены и ранжированы. Чиновники призвали руководителей «управляек» ознакомиться с результатами рейтинга для дальнейшего анализа своей работы.
Жители Пензенской области также могут ознакомиться с результатами проведенной министерством работы, после чего сделать выводы о качестве услуг, предоставляемых управляющими организациями. В ведомстве считают, что это поможет усилению конкуренции среди компаний, отвечающих за обслуживание многоквартирных домов в регионе.
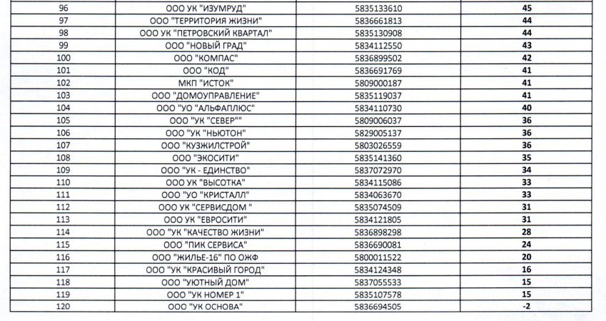
Согласно рейтингу, составленному министерством ЖКХ и ГЗН Пензенской области (документ является приложением к приказу министра Михаила Панюхина от 21 июля 2025 года), места в нем распределились следующим образом:
.jpg)
.jpg)
.jpg)
.jpg)
Названы критерии составления рейтинга управляющих компаний Пензенской области.
До 1 августа пензенцы могут подать заявки на Губернаторский жилищный сертификат.

